[MAP Logo]

Materials Algorithms Project
Program Library



Subroutine MAP_STEEL_RRAD

  1. Provenance of code.
  2. Purpose of code.
  3. Specification.
  4. Description of subroutine's operation.
  5. References.
  6. Parameter descriptions.
  7. Error indicators.
  8. Accuracy estimate.
  9. Any additional information.
  10. Example of code
  11. Auxiliary subroutines required.
  12. Keywords.
  13. Download source code.
  14. Links.

Provenance of Source Code

H.K.D.H. Bhadeshia,
Phase Transformations Group,
Department of Materials Science and Metallurgy,
University of Cambridge,
Cambridge, U.K.

Top | Next

Purpose

Calculates the Gibbs Thompson critical radius for zero growth of a ferrite plate in austenite at a given temperature and the equilibrium concentration at the plate tip.

Top | Next | Prev

Specification

Language:FORTRAN
Product form:Source code

SUBROUTINE MAP_STEEL_RRAD(RADIUS, XMAX, XALPHA, XBAR, T, R, XMAXR,
& W, SIG, MOLVOL, CAPCON, EPSI)

DOUBLE PRECISION RADIUS, XMAX, XALPHA, XBAR, T, R, XMAXR, W, SIG,
& MOLVOL, CAPCON, EPSI

Top | Next | Prev

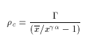
Description

If the equilibrium carbon concentration of austenite is x[gamma alpha], and a ferrite plate has a radius of curvature of rho at its tip, then the austenite concentration in local equilibrium with this tip (taking account of the Gibbs-Thompson effect) is xrho, where:-

[Eqn 1]

where sigma is the alpha/gamma interfacial energy (J/m2), f is the activity coefficient of austenite, Vmol is the molar volume of ferrite and gamma, the capillarity constant, is :-

[Eqn 2]

The critical radius at which the growth of the plate is zero is reached when xrhoc = x, i.e. when :-

[Eqn 3]

Top | Next | Prev

References

  1. H.K.D.H. Bhadeshia, Materials Science and Technology, 1, (1985), 497-504.
  2. J.W. Christian, Theory of Transformations in Metals and Alloys, Part 1, Pergamon Press, 2nd edition, p180.

Top | Next | Prev

Parameters

Input parameters

XMAX - real
XMAX is the equilibrium mole fraction of carbon in austenite x[gamma alpha].

XALPHA - real
XALPHA is the equilibrium mole fraction of carbon in ferrite x[alpha gamma].

XBAR - real
XBAR is the mole fraction of carbon in the alloy x.

T - real
T is the absolute temperature T (in kelvin, K).

W - real
W is the carbon-carbon interaction energy (in joules per mole, Jmol-1).

SIG - real
SIG is the interfacial energy (in joules per metre squared, Jm-2).

R - real
R is the gas constant (in Jmol-1K-1).

Output parameters

RADIUS - real
RADIUS is the Gibbs Thompson critical radius for zero growth rhoc (in metres).

XMAXR - real
XMAXR is the equilibrium concentration at the plate tip xrho (mole fraction).

MOLVOL - real
MOLVOL is the molar volume of ferrite (in cubic metres per mole, m3mol-1).

CAPCON - real
CAPCON is the capillarity constant Gamma.

EPSI - real
EPSI is the non-ideality parameter.

Top | Next | Prev

Error Indicators

None.

Top | Next | Prev

Accuracy

No information supplied.

Top | Next | Prev

Further Comments

None.

Top | Next | Prev

Example

1. Program text

       DOUBLE PRECISION RADIUS, XMAX, XALPHA, XBAR, T, R, XMAXR, W,
&      SIG, MOLVOL, CAPCON, EPSI
       INCLUDE 'map_constants_gas.f'
       READ (5,*) XMAX, XALPHA, XBAR
       READ (5,*) T, W, SIG
       CALL MAP_STEEL_RRAD(RADIUS, XMAX, XALPHA, XBAR, T, R, XMAXR, W,
&      SIG, MOLVOL, CAPCON, EPSI)
       WRITE (6,10) RADIUS, XMAXR, MOLVOL, CAPCON, EPSI
10     FORMAT('Gibbs Thompson critical radius = ',D13.5,' metres'
&      'Equilibrium concentration at plate tip = ',D13.5
&      'Molar volume of ferrite = ',D13.5,' cubic metres per mole'
&      'Capillarity constant = ',D13.5
&      'Non-ideality parameter = ',D13.5)
       STOP
       END

2. Program data

  0.51111D-01    0.74501D-03   0.13738D-01
901.15        8352.3           0.2

3. Program results

Gibbs Thompson critical radius =   0.30652D-08 metres
Equilibrium concentration at plate tip =   0.45787D-01
Molar volume of ferrite =   0.72412D-05 cubic metres per mole
Capillarity constant =  -0.22413D-08
Non-ideality parameter =   0.16247D+01

Top | Next | Prev

Auxiliary Routines

MAP_STEEL_DCG

Top | Next | Prev

Keywords

Gibbs Thompson, critical radius, equilibrium concentration, capillarity constant, non-ideality parameter, ferrite, austenite, tip, plate

Top | Next | Prev

Download

Download source code

Top | Prev


MAP originated from a joint project of the National Physical Laboratory and the University of Cambridge.

MAP Website administration / map@msm.cam.ac.uk

Top | Index | MAP Homepage Valid HTML 3.2!